广东-凤楼论坛_楼凤宫论坛(品茶)_小海棠全国论坛最新信息_凤江湖论坛入口

浙轮电力主营APF有源电力滤波装置、电容器系列、电抗器系列、智能复合开关和无功补偿控制器等产品。
ZLDL-电抗器系列
ZLDL-ZXL正弦波滤波电抗器
所属分类:ZLDL-电抗器系列

 应用电路:
异步电机变频传动,变频器输出侧,抑制及吸收开关频率纹波电流所衍生的高次谐波电流,降低长电缆行波反射dv/dt瞬变电压,矫正波形近似为正弦波,大大延长了输出电缆长度,从而降低电机涡流损耗及噪音,保护电机绝缘。


性能特点


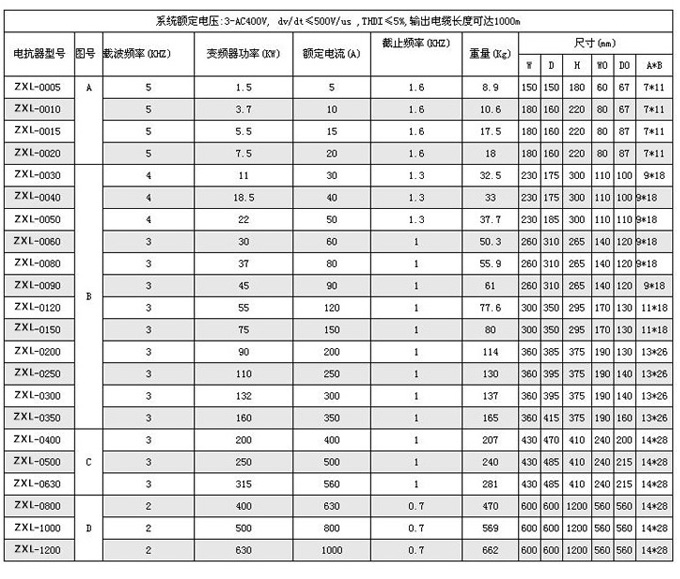
尺寸及技术参数:



正弦波滤波器(UD=8%-12.5%)技术参数:

备注:
产品标示A、B、C为滤波器三相输入端,X、Y、Z为滤波器三相输出端,L、N为220V风机电源接线端。

主站蜘蛛池模板: 同德县| 马关县| 新野县| 井研县| 云浮市| 湖南省| 晋江市| 卫辉市| 永登县| 玛曲县| 大洼县| 安平县| 栾城县| 黎平县| 荥阳市| 扬州市| 合江县| 鄂尔多斯市| 渭南市| 蛟河市| 抚顺县| 东源县| 凤翔县| 白水县| 罗田县| 汶上县| 迁西县| 汝州市| 苍南县| 凤山市| 东乌珠穆沁旗| 香河县| 方城县| 芦山县| 星座| 法库县| 凉山| 元阳县| 海林市| 乡宁县| 武强县|